Remember my story about how lowland roadsides are flooded with species that do not belong in the natural system? Remember how these new species could profit from the lower competition when the natural vegetation got destroyed by the process of road building? A lot of these species are well known to Northern Scandinavia, but some of them are not. And this last group deserves our special attention.
A group of true culture-followers. The real roadside species. The ultimate weeds. They followed human development up to the north at one point in time, some decennia or centuries ago. We call them aliens: visitors (and sometimes invaders) from another ‘world’. (But do not let them fool you, because they are just species like our regular white clover!)
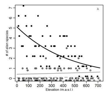
What is really curious is how almost all these aliens share the same story. Their invasion always starts in the lowlands, where they got introduced, after which they closely follow roads and human structures up into the mountains. Not too many of them really reach the top, however. We see a progressive drop-out of species on the way, victims to the cold alpine climate (but keep in mind this is a dynamic process, they could still be on their way!). This progressive loss of alien species with elevation got the fancy term ‘directional ecological filtering’ and it also seems to be happening in our subarctic ecosystem. The mountain acts as a filter, only allowing a select group of aliens to the highest elevations, while the weaker ones are filtered out (check the clear decrease in roadside alien richness with elevation as visualized by the black line on the graph).
The question is which skills are needed to sneak through this filter to reach the highest elevations in the mountains. It turns out that all winners of the race to the top follow a similar strategy: they are all generalists, which means they can thrive in a wide range of environments. That makes them different from the vast majority of plants that got adapted for one particular situation. It also makes them incredibly suited for mountain invasion. Mountain invaders have to overcome both lowland and alpine conditions. Strong competitors loom in the lowlands, where conditions are good and fast and efficient growing are the keys. In the highlands, the harsh climate demands stress-tolerant traits to survive the cold: growing slow, staying close to the ground and using resources to fight the harsh conditions.
That is the reason why pure competitive alien species are stuck in the lowlands, while the generalists can follow the road all the way up to the alpine zone. While both know how to handle the intense competition in the lowlands, only the generalists can change their strategy to deal with the totally different alpine conditions from the highlands. And as soon as these villain generalists reach the top, we should foresee major problems, but that will be covered in another post!

This picture clearly shows how the vegetation changes drastically over only a small elevational gradient.













Pingback: New adventurers | Arctic Research
Pingback: Escaping the roadsides | On top of the world
Pingback: A black-listed ball of fur | On top of the world